37+ Calculate Percent Of Slope


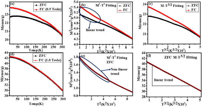
Substitution Of Excess Mn At Ni And Sn Site In Full Heusler Mn2 4ni0 8sn0 8 Alloy Springerlink


The Table Shows The Proof Of The Relationship Between The Slopes Of Two


Terrain Analysis Specific Theory


Expressing Slope


Cda Journal November 2022 Dental Student Research By California Dental Association Issuu


Why Do Cyclists Use And Skiers Degrees For Slopes Cycloworld Cc


A Tga Dta Ms Investigation To The Influence Of Process Conditions On The Pyrolysis Of Jimsar Oil Shale Sciencedirect


Simulation Of The Environmental Fate And Transformation Of Nano Copper Oxide In A Freshwater Environment Acs Es T Water


Mercury Offloading In Gametes And Potential Adverse Effects Of High Mercury Concentrations In Blood And Tissues Of Atlantic Goliath Grouper Epinephelus Itajara In The Southeastern United States Sciencedirect


1 1 Assessing Slope Of The Land Forest Measurements


Gradient Slope Grade Pitch Rise Over Run Ratio Calculator


Advanced Ceramics Coating Composites With High Corrosion Resistance In Oil And Gas Application Sciencedirect


Hot Matter From High Power Lasers Springerlink


Disentangling Lipid Isomers By High Resolution Differential Ion Mobility Spectrometry Ozone Induced Dissociation Of Metalated Species Journal Of The American Society For Mass Spectrometry


Angle Degrees To Percent Calculator


Rise Over Run To Percent Slope Calculator Inch Calculator


Floating Floor Solution Slim Fitting Floor Soundproofing Soundstop Co Uk


Slope Degree Gradient And Grade Calculator

Iklan Atas Artikel

Iklan Tengah Artikel 1

Iklan Tengah Artikel 2

Iklan Bawah Artikel